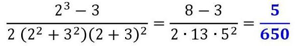
L'astronave vale 3 e il pianeta vale 2, perciò la frazione diventa:

In caso tu abbia risolto correttamente il quesito, assegnati 1 punto!
Scarica la lettera allegata sul tuo device: contiene un indizio, perciò è bene che la conservi
Torna alla pagina degli indizi
Allegato